EN
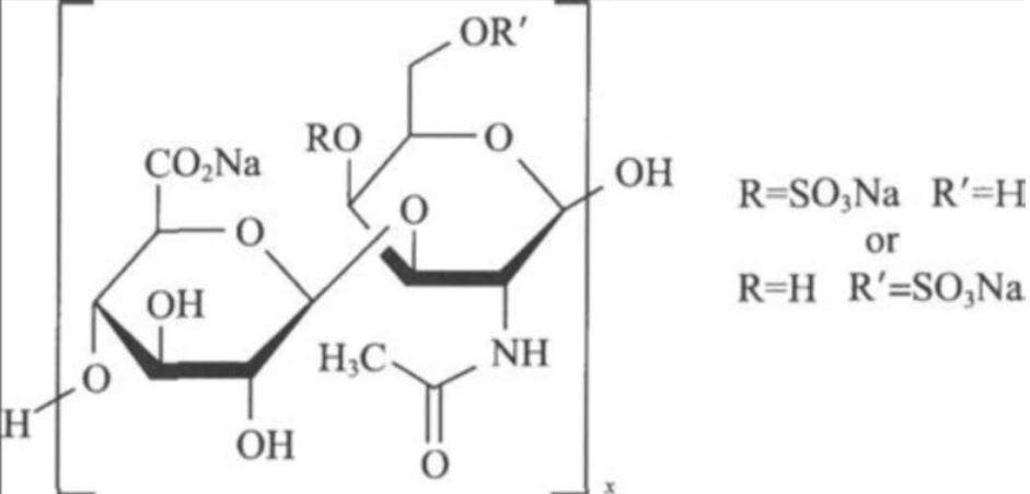
硫酸软骨素钠

硫酸软骨素钠

●维护关节健康
●改善眼部干燥、疲劳

●CAS号:9007-28-7   

●CAS NO.:9007-28-7

●性状:白色至类白色粉末

●化学式:C13H21NO15S

●分子量:463.36854

●化学结构式:


●维持‌关节健康‌ | 帮助减轻关节疼痛和炎症,改善关节灵活性。

●保持‌眼部健康  |  改善眼部干燥和疲劳症状,促进角膜血液循环和新陈代谢‌。

●‌其他健康益处 | 具有抗氧化、抗炎和免疫调节等作用