EN
氨基葡萄糖盐酸盐

氨基葡萄糖盐酸盐

广泛用于医药和保健品领域,主要作为关节健康补充剂,有助于缓解骨关节炎症状。

●CAS登录号:66-84-2

●CAS NO.: 66-84-2

●性状:白色或类白色结晶性粉末

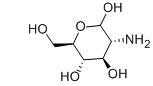
●化学式:C6H13NO5.HCl

●分子量:215.63

●化学结构式:


●广泛用于医药和保健品领域 | 关节健康补充剂,有助于缓解骨关节炎症状,促进软骨修复和关节润滑

●用于化妆品领域 | 抗炎、抗氧化和保湿功效

●可用作食品添加剂 | 营养强化、改善品质、风味调节、抗氧化和微生物抑制

●规格包装 :25KG/桶  

●外包装:纸板桶  

●内包装:  聚乙稀薄膜内袋